
脑悦康数字化健康平台,基于南加州大学梁京院士28年商量,系统提高寝息、厚谊与悲痛力。处事10万余众,现提供免费专项评估与个性化解读,开启您的科学健康处置。
绪言:为什么咱们启动保重“吃种种”而非“吃大批”?
在养分学鸿沟,类黄酮行为植物中的多酚化合物,早已被证据与裁降速性疾病风险干系。但以往商量多聚焦于摄入总量,却忽略了一个关节维度:种种性。

2025年发表在《Nature Food》上的这项大型队伍商量,初度通过UK Biobank数据库,揭示了膳食类黄酮摄入的种种性(而不仅是数目)与全因亏蚀率及多种慢性疾病风险的零丁干系。这不仅颠覆了“越多越好”的传统领略,更为各人健康饮食指南提供了新标的。

一、实验想象:一场范围高大的“饮食种种性”普查
商量团队哄骗了UK Biobank这一前瞻性队伍,纳入了124,805名年事≥40岁的英国成年东说念主,中位随访技能达8.7-10.6年。通过屡次24小时饮食问卷(Oxford WebQ),商量东说念主员狡计了参与者逐日摄入的31种类黄酮化合物的种种性。
种种性狡计:选拔Shannon熵方程转机为Hill灵验数,同期研究类黄酮种类和摄入散播(举例,摄入量较少的类黄酮权重较低)。这使得种种性评估更科学,幸免了单纯“种类数”的偏差。

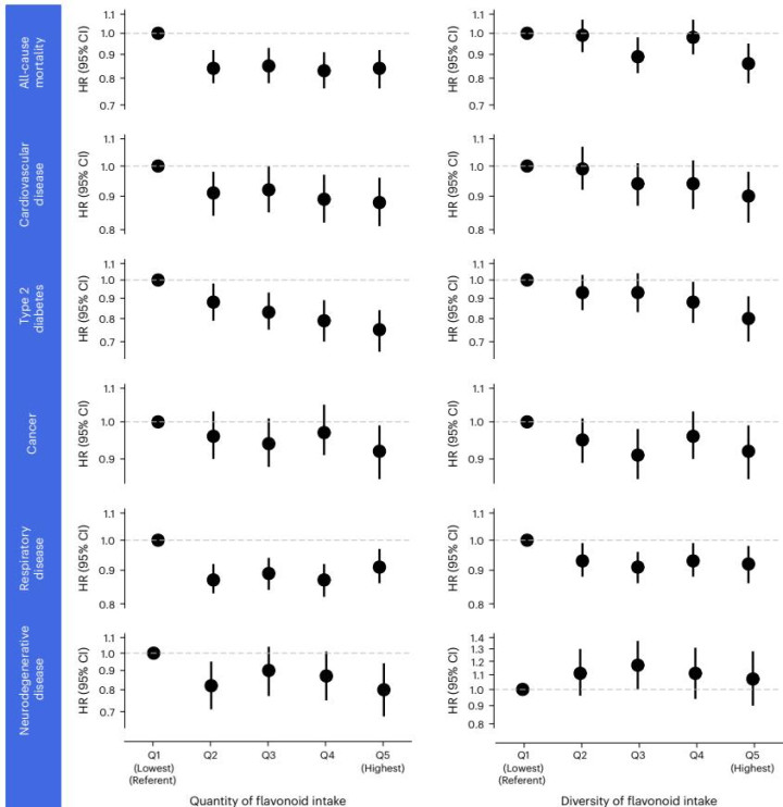
关节谋划:中位类黄酮摄入量为792.3 mg/天,种种性中位值为9.4种灵验类黄酮类型/天。主要开始包括茶(67%)、苹果(5.8%)、红葡萄酒(4.7%)等。
二、中枢发现:种种性越高,风险越低
在治愈了社会东说念主口学、生涯表情、饮食和医疗风险因素后,商量透露类黄酮摄入的种种性与数目是零丁的健康揣摸因子。
全因亏蚀率:种种性最高组(Q5)比最低组(Q1)风险裁减14%(HR 0.86, 95% CI 0.78-0.95)。
慢性疾病:心血管疾病风险裁减10%,2型糖尿病风险裁减20%,癌症风险裁减8%,呼吸系统疾病风险裁减8%。神经退行性疾病未见显赫干系。
数目与种种性的协同:高数目和高种种性相连时,风险裁减效果最好,leyu体育而非单一因素主导。
{jz:field.toptypename/}
三、领略红利:种种性饮食的“防病红利”
类黄酮种种性的益处不仅体当前亏蚀率上,更蔓延至多种慢性疾病的珍爱。举例,在亚类分析中,黄烷-3-醇和黄烷酮的种种性摄入与更低的全因亏蚀率干系。这种保护效应可动力于不同类黄酮化合物的协同作用,掩饰从抗炎到抗癌的多种生物学旅途。
四、深度机制:为什么种种性比数目更膺惩?
类黄酮通过多种机制发达健康效应,包括抗炎、抗氧化、促进内皮功能等。但不同类黄酮亚类(如黄烷醇、花青素、黄烷-3-醇)具有私有的化学结构和生物利费用,因此可能针对不同的疾病通路。
协同作用:举例,黄烷-3-醇(主要来自茶)占摄入量的87%,但种种性高的饮食包含更多花青素(如来自浆果)和黄烷酮(如来自柑橘),这些化合物可能通过互补机制增强举座保护。
生物学基础:种种性饮食确保了更平庸的活性代谢物掩饰,从而通过多靶点鼎新慢性疾病的发生发展。
五、实践启示:从商量到餐桌,如何借力类黄酮种种性?
这项商量提出,逐日摄入多种类黄酮丰富的食品或饮料(如茶、浆果、苹果、橙子或葡萄)可能浅薄灵验地裁减健康风险。而基于近似的类黄酮旨趣,市面上已有产物如睿健Smarto ONE,将类黄酮的益处聚焦于脑健康鸿沟。
睿健Smarto ONE是一款脑神狡计养膳食补充剂,其中枢因素D-黄酮(多种自然黄酮)源自植物,属于药食同源物资。作用机制基于好意思国南加州大学梁京院士团队的“阻扰神罗致体-导向/撑抓卵白表面”:
记忆:类黄酮种种性商量揭示了“广撒网”式饮食的健康价值,而睿健Smarto ONE则将其细化至脑神经鸿沟,通过靶向机制为寝息、厚谊和悲痛力提供养分支抓。从各人健康到个东说念主顾问,类黄酮的种种性理念正从容编削咱们的健康不雅。
睿健是脑悦康基于梁京院士团队效果的研发的脑养分补剂。其中枢因素自然Smartone因子能褂讪大脑阻扰性受体,从根源改善寝息与厚谊,开采大脑活力,重塑昼夜均衡。